Verlauf von ver1
show
count
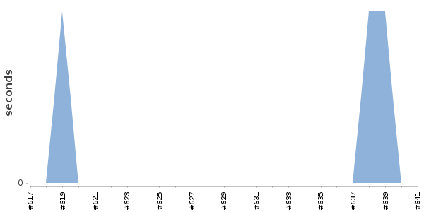
Build | Testbeschreibung | Testdauer | Testergebnis |
Wurst #641 | 0 ms | Erfolg | |
Wurst #640 | 0 ms | Erfolg | |
Wurst #639 | 1 ms | Erfolg | |
Wurst #638 | 1 ms | Erfolg | |
Wurst #637 | 0 ms | Erfolg | |
Wurst #636 | 0 ms | Erfolg | |
Wurst #635 | 0 ms | Erfolg | |
Wurst #634 | 0 ms | Erfolg | |
Wurst #633 | 0 ms | Erfolg | |
Wurst #632 | 0 ms | Erfolg | |
Wurst #631 | 0 ms | Erfolg | |
Wurst #630 | 0 ms | Erfolg | |
Wurst #629 | 0 ms | Erfolg | |
Wurst #628 | 0 ms | Erfolg | |
Wurst #627 | 0 ms | Erfolg | |
Wurst #626 | 0 ms | Erfolg | |
Wurst #625 | 0 ms | Erfolg | |
Wurst #624 | 0 ms | Erfolg | |
Wurst #623 | 0 ms | Erfolg | |
Wurst #622 | 0 ms | Erfolg | |
Wurst #621 | 0 ms | Erfolg | |
Wurst #620 | 0 ms | Erfolg | |
Wurst #619 | 1 ms | Erfolg | |
Wurst #618 | 0 ms | Erfolg | |
Wurst #617 | 0 ms | Erfolg |