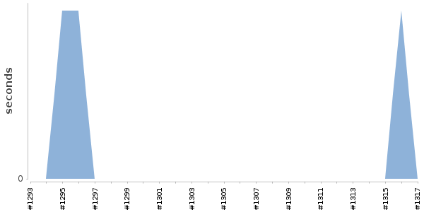
Verlauf von testSubseq

[Duration graph]
show count
BuildTestbeschreibungTestdauerTestergebnis
Wurst #13170 msErfolg
Wurst #13161 msErfolg
Wurst #13150 msErfolg
Wurst #13140 msErfolg
Wurst #13130 msErfolg
Wurst #13120 msErfolg
Wurst #13110 msErfolg
Wurst #13100 msErfolg
Wurst #13090 msErfolg
Wurst #13080 msErfolg
Wurst #13070 msErfolg
Wurst #13060 msErfolg
Wurst #13050 msErfolg
Wurst #13040 msErfolg
Wurst #13030 msErfolg
Wurst #13020 msErfolg
Wurst #13010 msErfolg
Wurst #13000 msErfolg
Wurst #12990 msErfolg
Wurst #12980 msErfolg
Wurst #12970 msErfolg
Wurst #12961 msErfolg
Wurst #12951 msErfolg
Wurst #12940 msErfolg
Wurst #12930 msErfolg
ÄlterNeuer