Verlauf von testSubseq
show
count
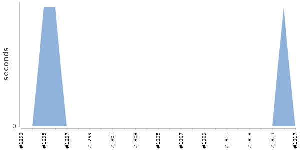
| Build | Testbeschreibung | Testdauer | Testergebnis |
| Wurst #1317 | 0 ms | Erfolg | |
| Wurst #1316 | 1 ms | Erfolg | |
| Wurst #1315 | 0 ms | Erfolg | |
| Wurst #1314 | 0 ms | Erfolg | |
| Wurst #1313 | 0 ms | Erfolg | |
| Wurst #1312 | 0 ms | Erfolg | |
| Wurst #1311 | 0 ms | Erfolg | |
| Wurst #1310 | 0 ms | Erfolg | |
| Wurst #1309 | 0 ms | Erfolg | |
| Wurst #1308 | 0 ms | Erfolg | |
| Wurst #1307 | 0 ms | Erfolg | |
| Wurst #1306 | 0 ms | Erfolg | |
| Wurst #1305 | 0 ms | Erfolg | |
| Wurst #1304 | 0 ms | Erfolg | |
| Wurst #1303 | 0 ms | Erfolg | |
| Wurst #1302 | 0 ms | Erfolg | |
| Wurst #1301 | 0 ms | Erfolg | |
| Wurst #1300 | 0 ms | Erfolg | |
| Wurst #1299 | 0 ms | Erfolg | |
| Wurst #1298 | 0 ms | Erfolg | |
| Wurst #1297 | 0 ms | Erfolg | |
| Wurst #1296 | 1 ms | Erfolg | |
| Wurst #1295 | 1 ms | Erfolg | |
| Wurst #1294 | 0 ms | Erfolg | |
| Wurst #1293 | 0 ms | Erfolg |
